Skip to content Skip to sidebar Skip to footer

How To Find Natural Log - Natural logs usually use the please find the below example depicting how natural logarithm is used in arrays:

How To Find Natural Log - Natural logs usually use the please find the below example depicting how natural logarithm is used in arrays:. Does anyone know how find the natural logarithm of the entire column, not individually? Natural logarithm is particular case of logarithms and is typically used in solving time, growth/decay problems. The natural log is the logarithm to the base e. Log with base 10 & 2. Hi i am new to math tell me how i can find ln(x)=5 x=?

Mathematicians use the notation ln(x) to indicate the natural logarithm of a positive number x. It's defined as the inverse of $e^x$, a strange enough exponent already. Log of x to the base e, where e is euler's number. The natural log of x raised to the power of y is y times the ln of x. How to find the natural logarithm value of a number?

Section 4 6 Common And Natural Logarithms Manualzz
Section 4 6 Common And Natural Logarithms Manualzz from s3.manualzz.com
How do i find the natural log of a given number by using a calculator? It wastes a lot of memory space but it is the simplest method of ianp is correct, a lookup table would be the easiest since most likely you are only concerned about finding the natural log over a fixed interval of inputs. Mathematicians use the notation ln(x) to indicate the natural logarithm of a positive number x. The natural logarithm of a number is its logarithm to the base of the mathematical constant e, where e is an irrational and transcendental number approximately equal to 2.718281828459. The natural log is the logarithm to the base of the number e and is the inverse function of an exponential function. Javascript math.log() function is equivalent to ln(x) in mathematics. What are natural logarithms used for? Natural logarithm is particular case of logarithms and is typically used in solving time, growth/decay problems.

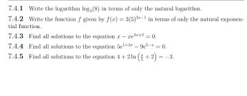
The natural logarithm of a number, ( ln(x) or log e (x) ), is the logarithm to the base e.

Sometimes, our solutions for how to find natural logarithm may not be the best for some, it is easy to understand because the demand for each person is different. In mathematics, the natural logarithm is a logarithm in base e, where e is the number approximately equal to 2.71828183. The natural log of x raised to the power of y is y times the ln of x. In these lessons, we will learn how to find the derivative of the natural log function (ln). We explain the most important ln properties and rules and how to use them in solving logarithm problems. The computed values are stored in the new column natural_log. Mathematicians use the notation ln(x) to indicate the natural logarithm of a positive number x. The logarithm function is typically only defined on the positive real number line. Exponential and logarithmic functions exp(z) the number e raised to the power z. The natural log of a number is defined as its logarithm to the base of the mathematical constant. If b is omitted, base 10 log of z. It's defined as the inverse of $e^x$, a strange enough exponent already. Syntax of natural logarithmic function in excel … find logarithm without calculator.

X= reallog(y) here y is the input argument which is an array and x gives the natural. Video result for how to find natural log how to find the domain and range of a natural. Javascript math.log() function is equivalent to ln(x) in mathematics. To find the natural logarithmic values we can apply numpy.log() function to the columns. For any log, the number to the left of the decimal point is called the characteristic, and the number to the right of.

Natural Logarithm From Wolfram Mathworld
Natural Logarithm From Wolfram Mathworld from mathworld.wolfram.com
When i tried to find it by typing =ln(b2,b265), it. Given an exponential function in the let's try an example with ???\log_a???. Given how the natural log is described in math books, there's little natural about it: What are natural logarithms used for? How to find the natural logarithm value of a number? This function triggers a domain error when the num is negative and a range error occurs if the num is zero. Sal evaluates log_e(67) (which is more commonly written as ln(67) ) using a calculator. The natural log of x raised to the power of y is y times the ln of x.

The natural log (ln) is the logarithm to the base 'e' and has extensive uses in.

Natural logarithm is particular case of logarithms and is typically used in solving time, growth/decay problems. How to find the natural log of a number. Technically, the natural log is defined for positive real numbers only. Log 10 n = log e n x 0.43429448. This function triggers a domain error when the num is negative and a range error occurs if the num is zero. In these lessons, we will learn how to find the derivative of the natural log function (ln). Given an exponential function in the let's try an example with ???\log_a???. Find natural logarithm calculator excel! Video result for how to find natural log how to find the domain and range of a natural. Natural log for windows is designed to run on a standard pc using windows 7, windows 8 or windows › get more: The logarithm function is typically only defined on the positive real number line. Here are some simple examples of logs. For any log, the number to the left of the decimal point is called the characteristic, and the number to the right of.

The natural log is the logarithm to the base of the number e and is the inverse function of an exponential function. So there is no answer to your question. Technically, the natural log is defined for positive real numbers only. The logarithm function is typically only defined on the positive real number line. My first approach was to convert the string using strconv library, but i got an error.

How To Find The Natural Logarithm Maths 2021
How To Find The Natural Logarithm Maths 2021 from images.sciencedevices.com
The natural logarithm of a number is its logarithm to the base of the mathematical constant e, where e is an irrational and transcendental number approximately equal to 2.718281828459. Log() is a mathematical function that returns the natural logarithm for the given num. Video result for how to find natural log how to find the domain and range of a natural. Javascript math.log() function is equivalent to ln(x) in mathematics. The natural log (ln) is the logarithm to the base 'e' and has extensive uses in. Natural log for windows is designed to run on a standard pc using windows 7, windows 8 or windows › get more: If b is omitted, base 10 log of z. Unfortunatley excel doesn't like it, even when brocken down.

How to evaluate natural logs.

Using natural logs (loge or ln): The letter ' e ' represents a mathematical constant also known as the natural exponent. The natural log (ln) is the logarithm to the base 'e' and has extensive uses in. What are natural logarithms used for? Does anyone know how find the natural logarithm of the entire column, not individually? Carrying all numbers to 5 significant figures, ln 30 = 3.4012 is equivalent to e3.4012 = 30 or finding logarithms. Log() is a mathematical function that returns the natural logarithm for the given num. X= reallog(y) here y is the input argument which is an array and x gives the natural. The natural log gives you the time needed to reach a certain level of growth. Javascript math.log() function is equivalent to ln(x) in mathematics. In this video i have given the methods to calculate: Evaluating a natural logarithm without a calculator. Exponential and logarithmic functions exp(z) the number e raised to the power z.